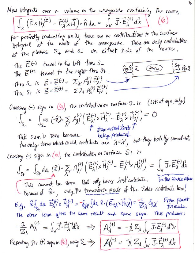
Guided Waves (Jackson, Ch. 8, SI)
Generation of Modes in Waveguides and Cavities due to Sources