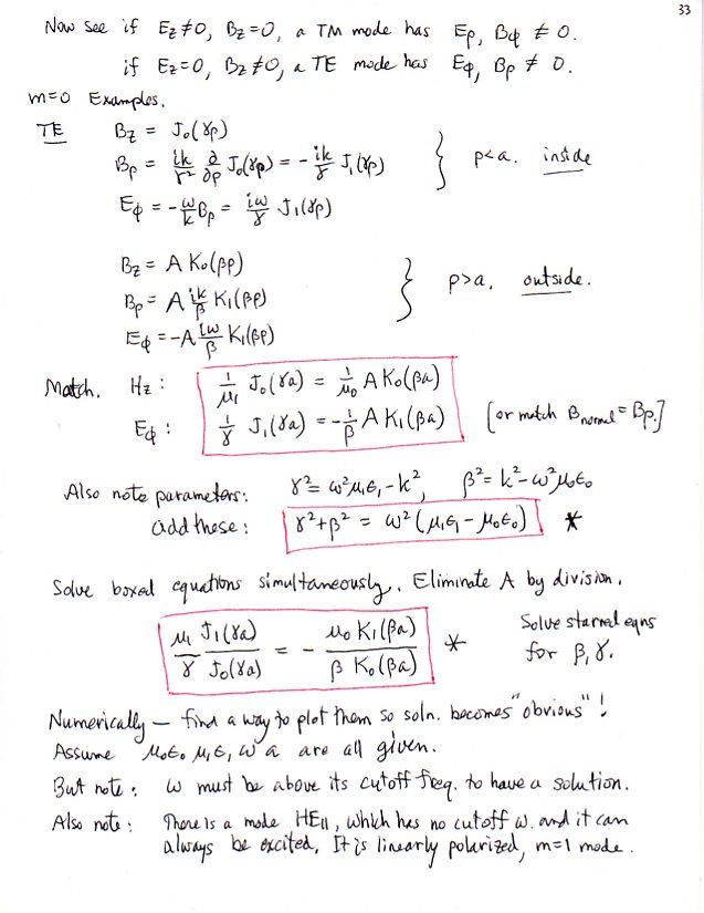
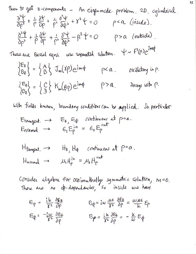
Guided Waves (Jackson, Ch. 8, SI)
Dielectric Wave Guides: Single-Mode Fiber Wave Optics