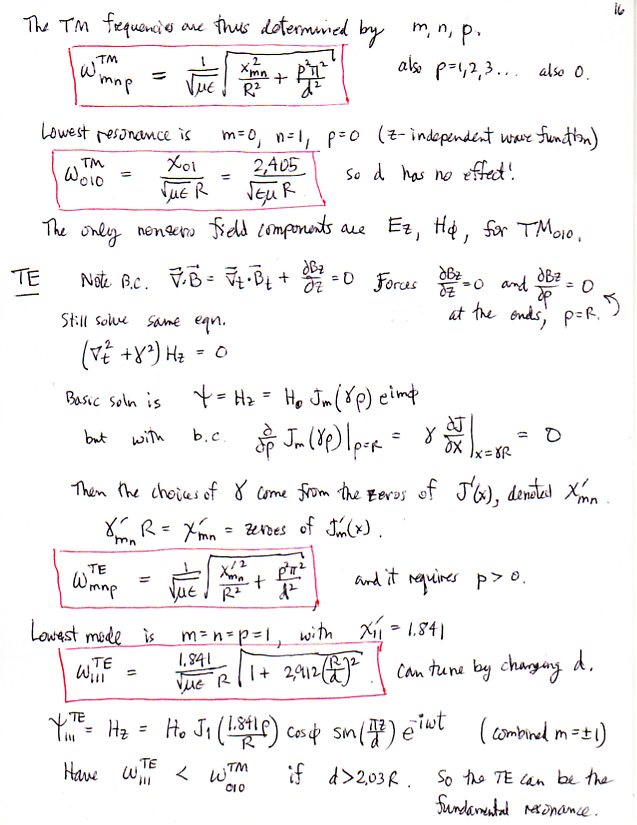
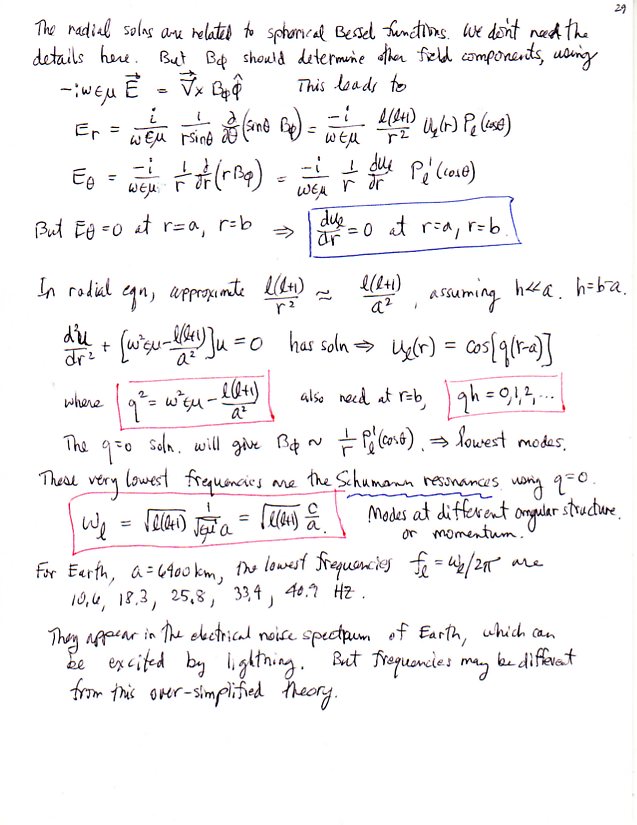
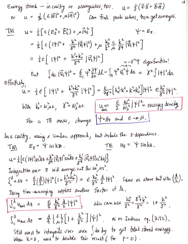
Guided Waves (Jackson, Ch. 8, SI)
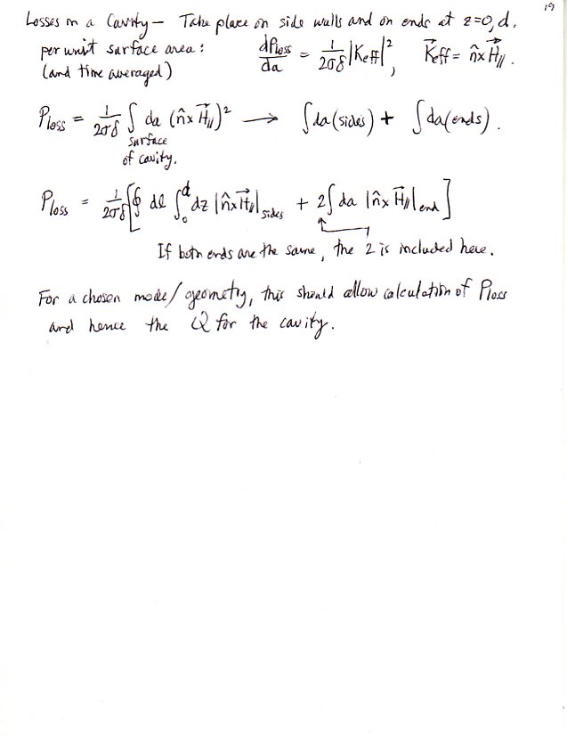
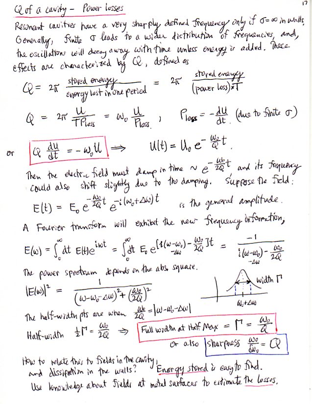
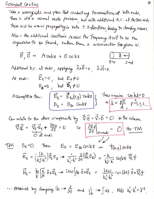
Modes in Resonant Cavities, Damping; Schumann Resonances of Earth