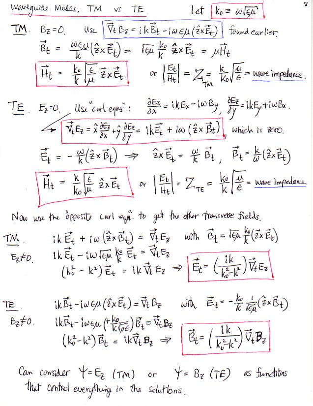
Guided Waves (Jackson, Ch. 8, SI)
Transverse ElectroMagnetic, TE and TM Modes in Cylindrical Wave Guides