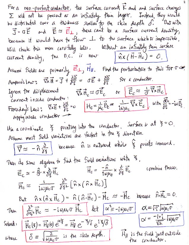
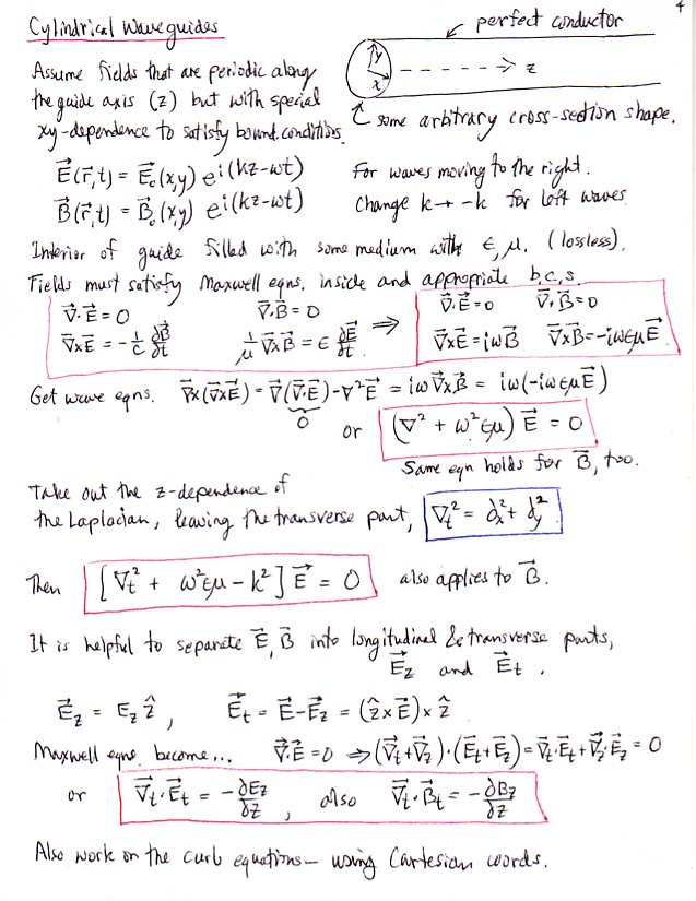
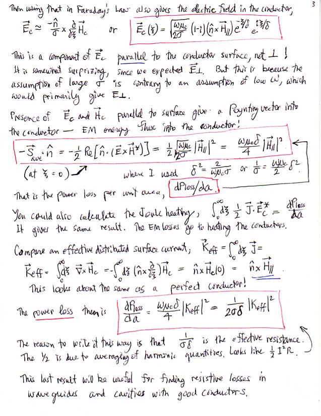
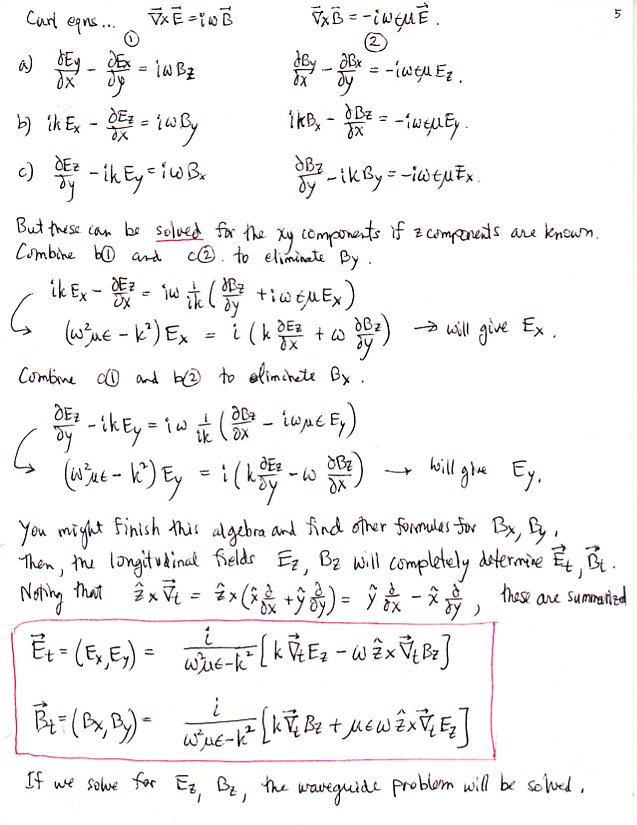
Guided Waves (Jackson, Ch. 8, SI)
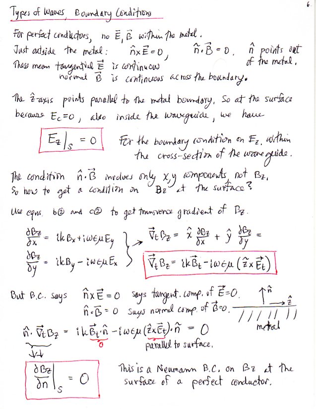
Field Properties and Boundary Conditions in Cylindrical Wave Guides