Special Theory of Relativity (Jackson, Ch. 11)
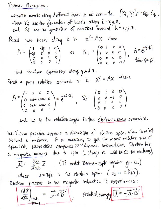
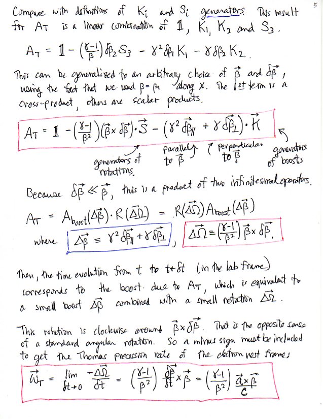
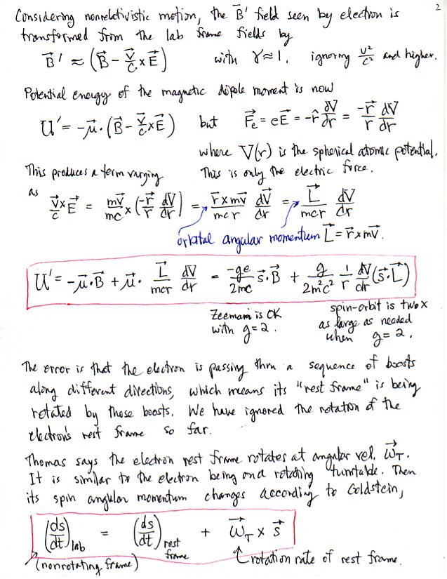
Thomas Precession