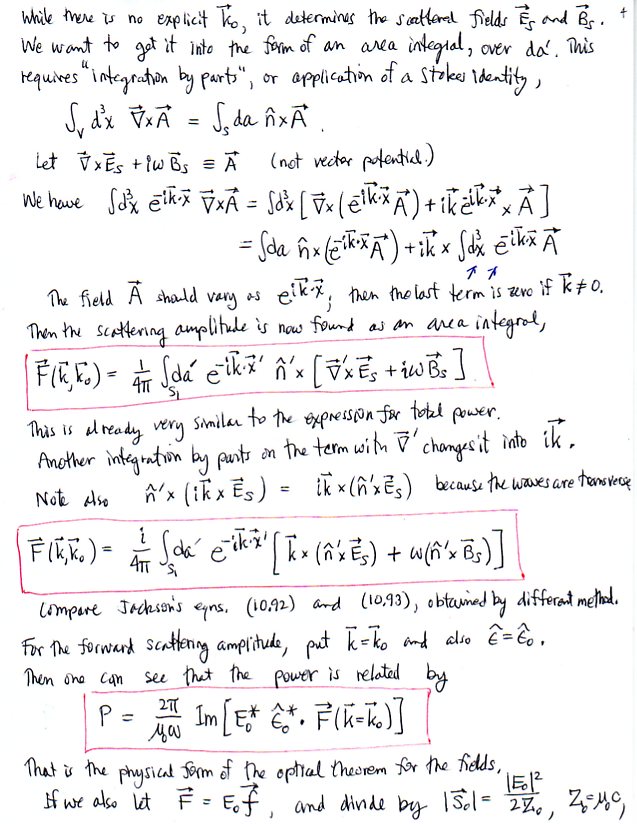
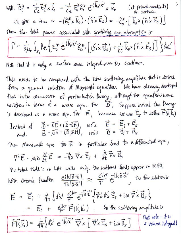
Scattering of Electromagnetic Radiation at Long Wavelengths (Jackson, Ch. 10)
About the optical theorem and total cross section