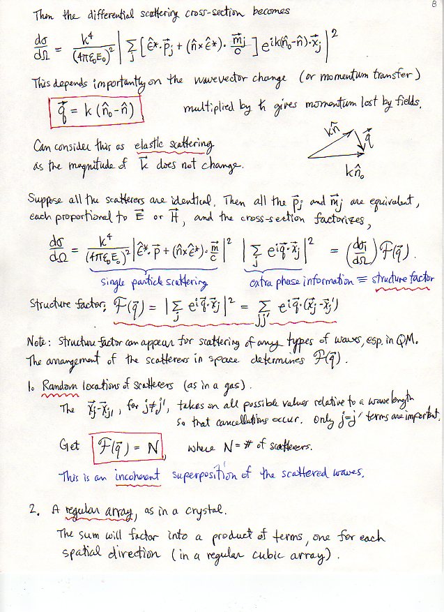
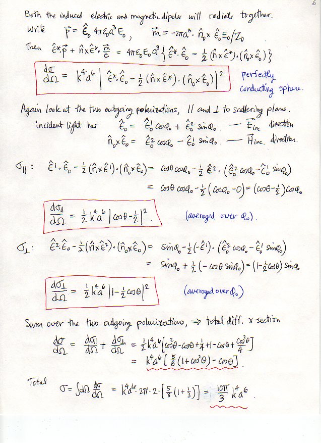
Scattering of Electromagnetic Radiation at Long Wavelengths (Jackson, Ch. 10)
Scattering Theory and Various Applications