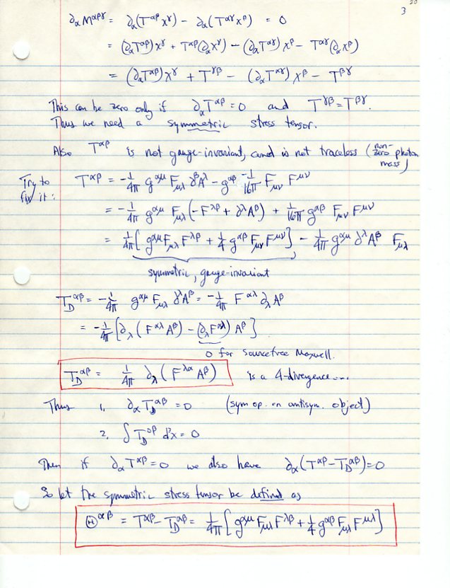
Relativistic Dynamics of Particles and Fields (Jackson, Ch. 12)
Lagrangian and Covariant Description of EM Fields