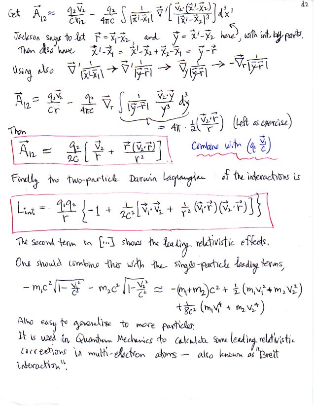
Relativistic Dynamics of Particles and Fields (Jackson, Ch. 12)
Lagrangian Description of Relativistic Particle Mechanics