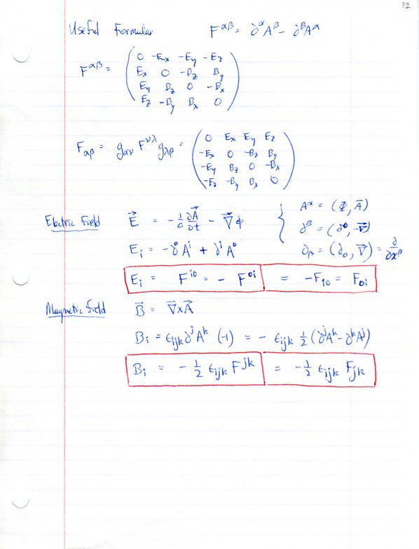
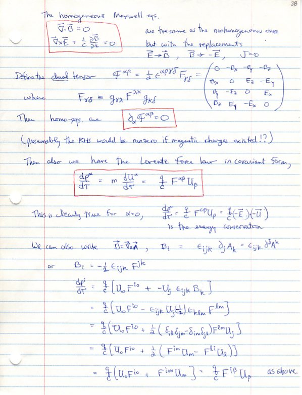
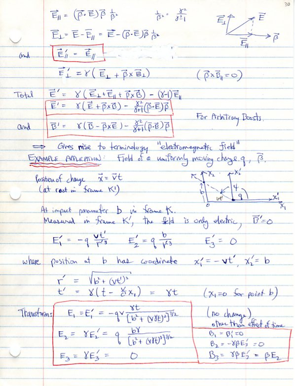
Special Theory of Relativity (Jackson, Ch. 11)
Covariant Electrodynamics
(Tensor Analysis of Electromagnetic Fields and Their Lorentz Transformations)