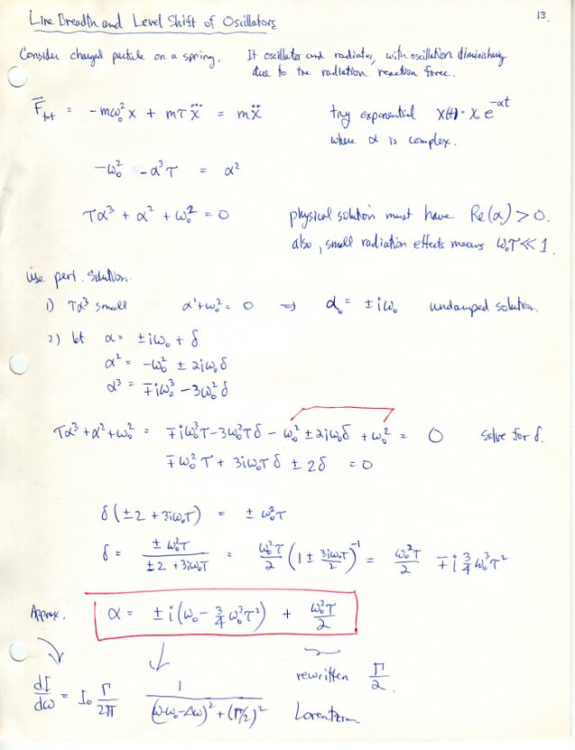
Radiation Reaction Effects (Jackson, Ch. 16)
Covariant Energy-Momentum; Oscillator Level Shifts