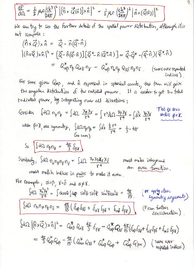
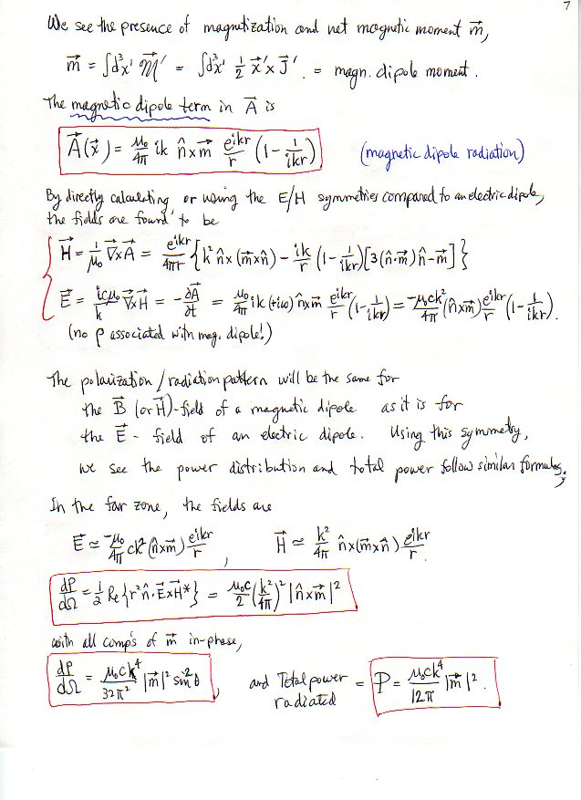
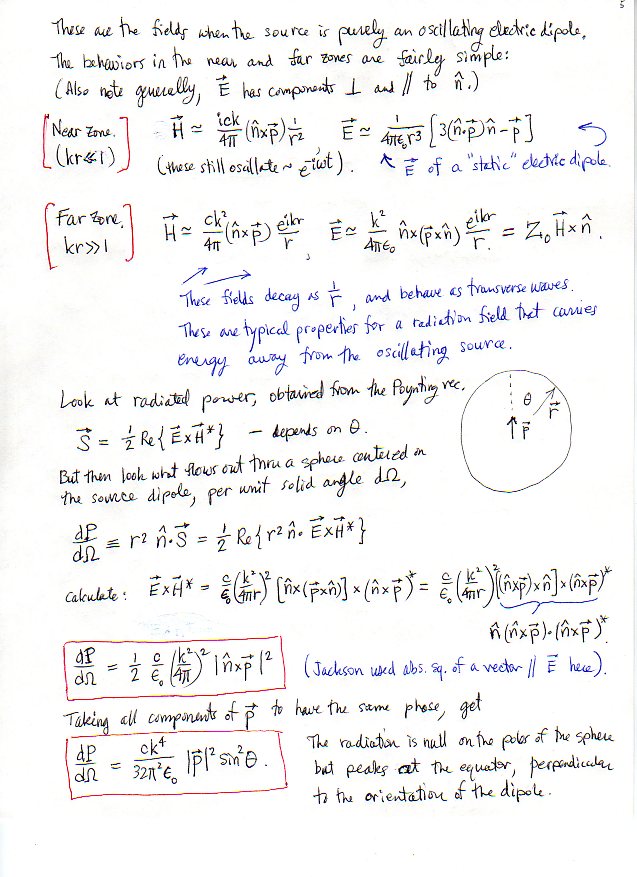
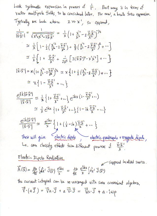
Electromagnetic Radiation and Multipoles (Jackson, Ch. 9)
Radiation in Lorentz gauge, electric and magnetic multipoles.