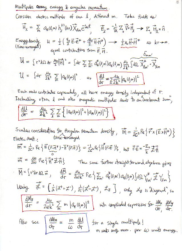
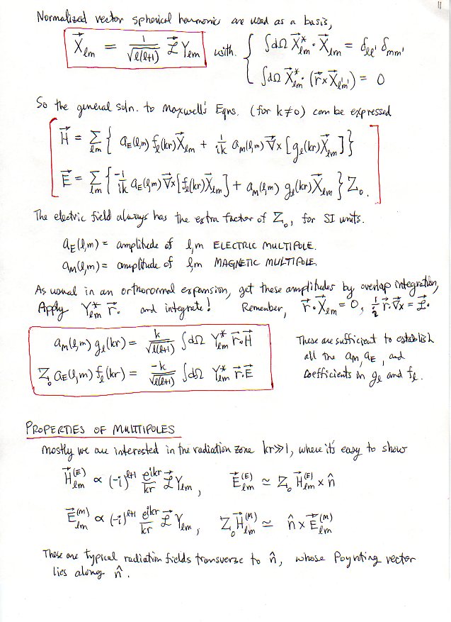
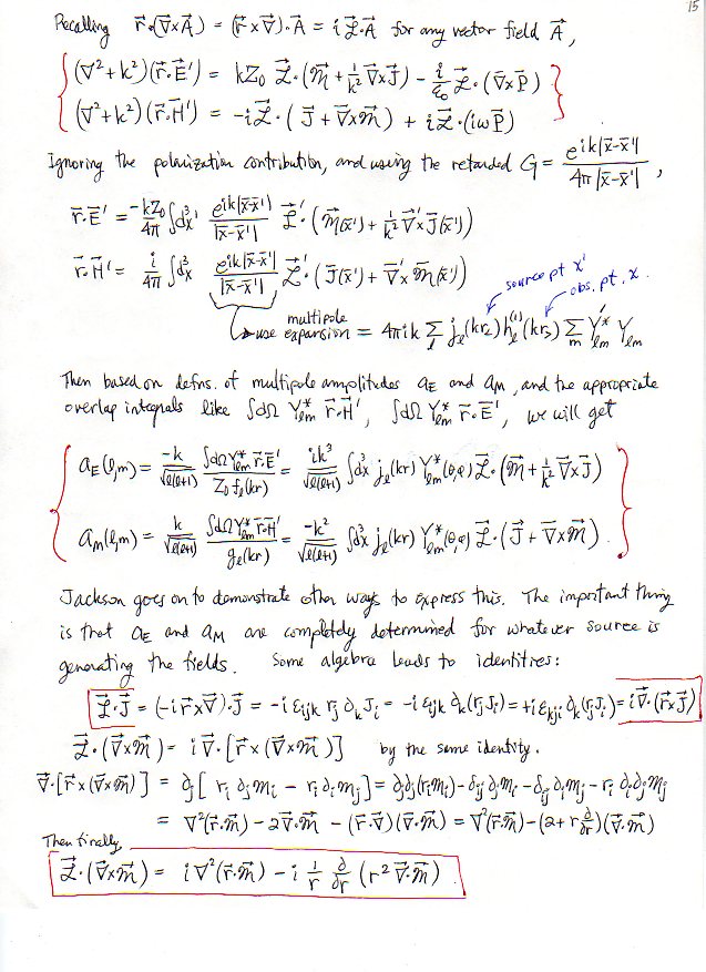
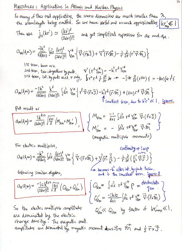
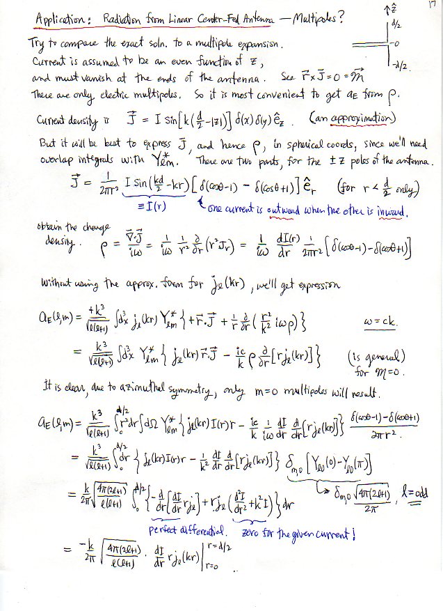
Electromagnetic Radiation and Multipoles (Jackson, Ch. 9)
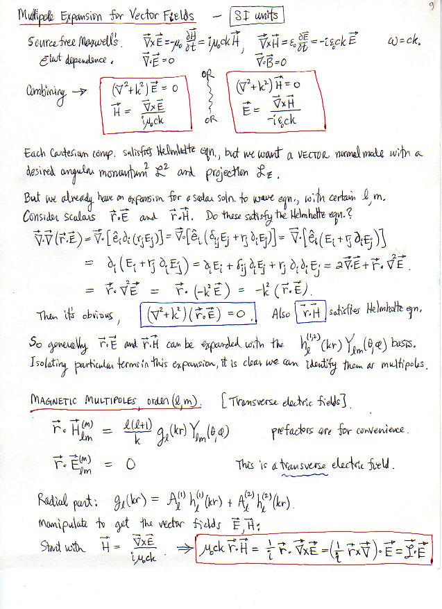
Multipole Expansion of Vector Electromagnetic Fields -- SI