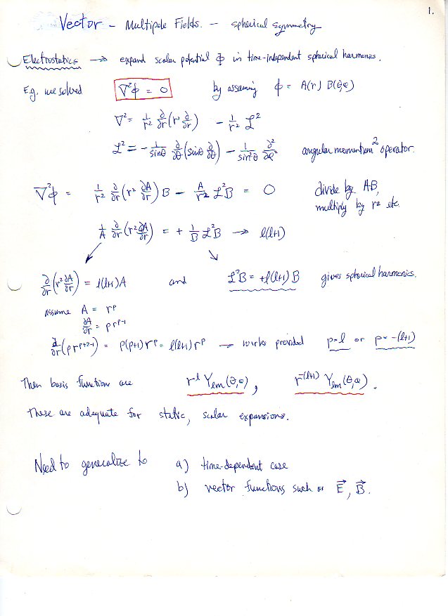
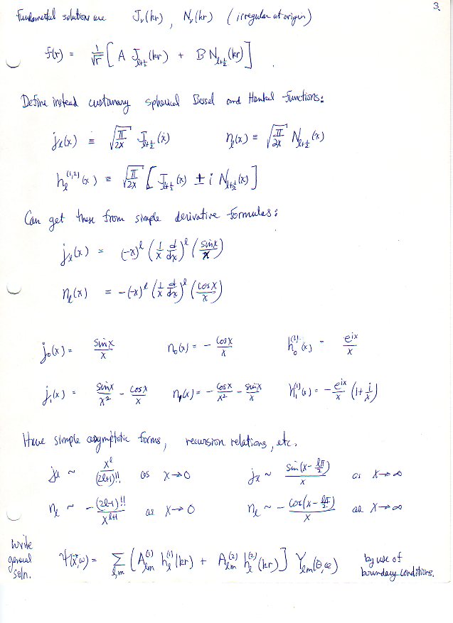
Electromagnetic Radiation and Multipoles (Jackson, Ch. 9)
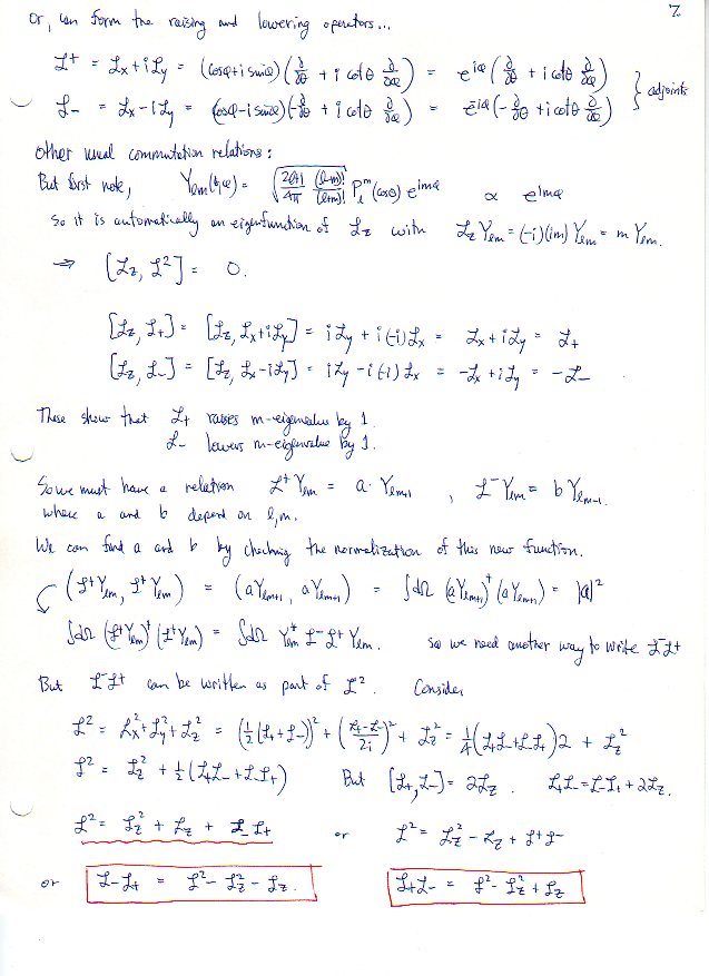
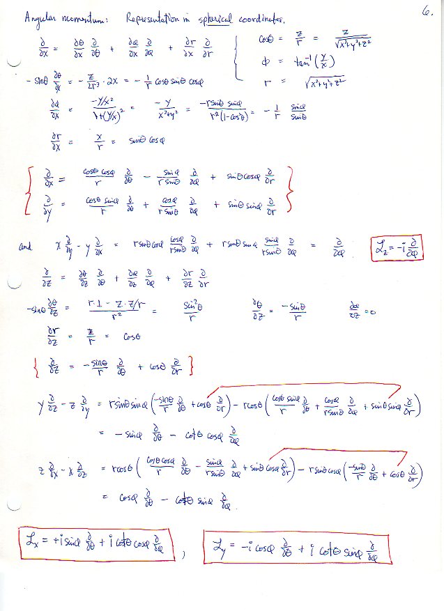
Vector Multipole Fields -- Helmholtz Eqn. and Angular Momentum.