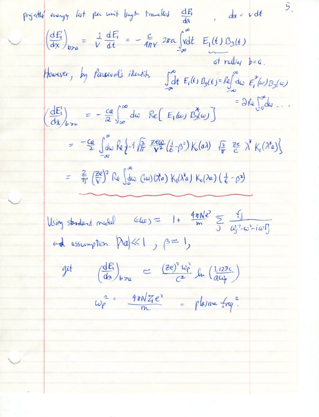
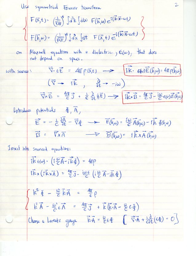
Collisional Energy Losses for Charged Particle Scattering (Jackson, Ch. 13)
Density Effect in Matter; Cherenkov Radiation