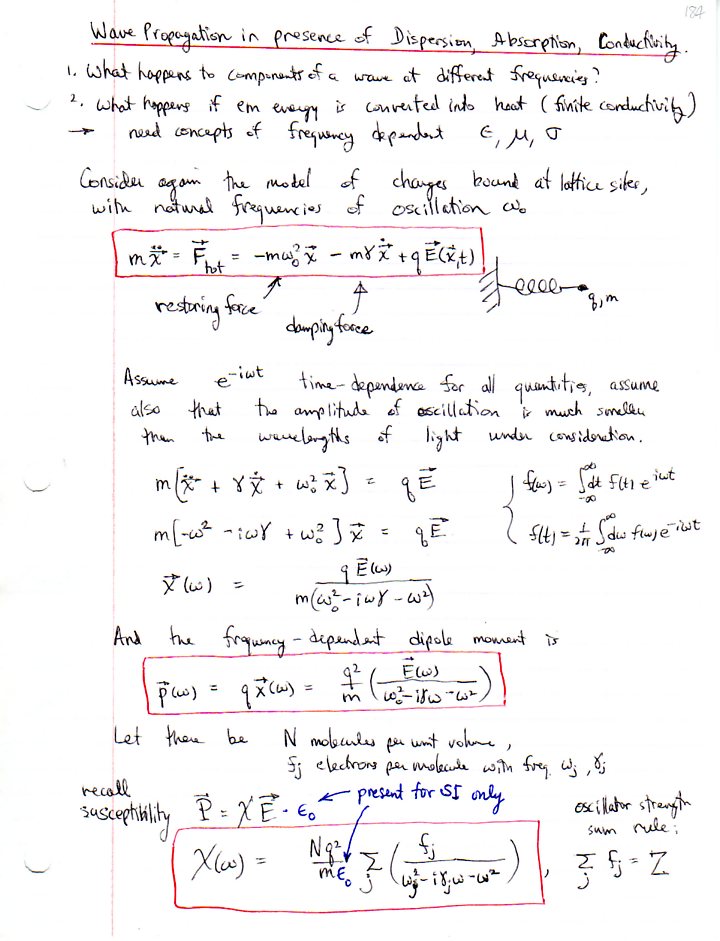
Plane Electromagnetic Waves and Propagation (Jackson, Ch. 7)
Propagation with dispersion, absorption, conductivity.