Electrodynamics: Time-varying fields (Jackson, Ch. 6)
Approaches to EM field quantization: Photons.

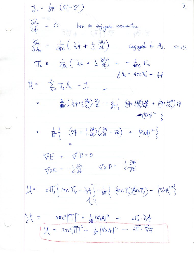
Quantization using the Lagrangian/Hamiltonian formalism:

A more modern approach to field quantization: