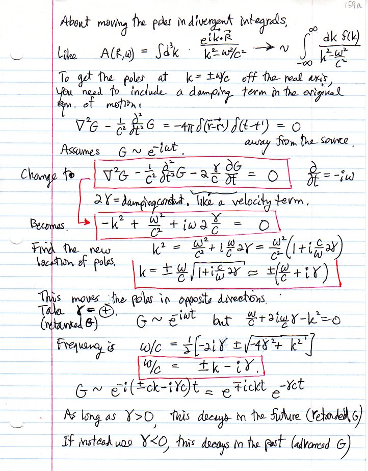
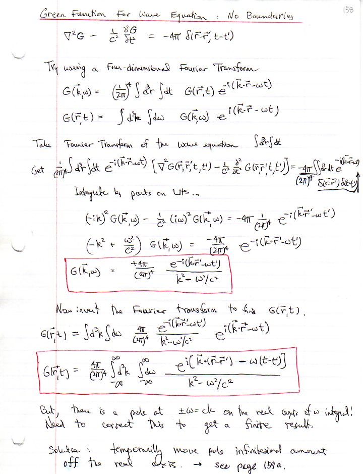
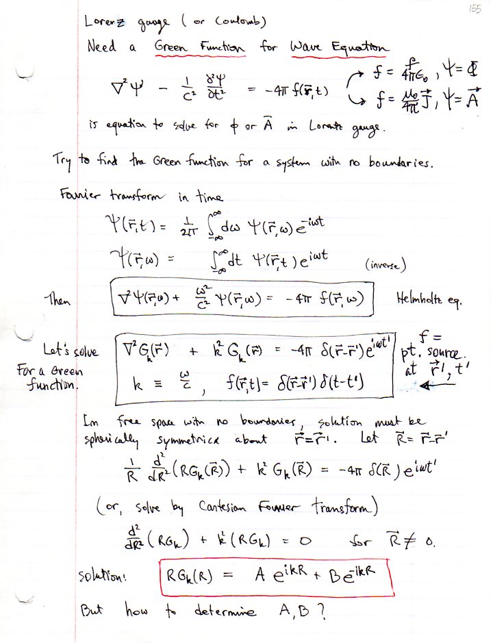
Electrodynamics: Time-varying fields (Jackson, Ch. 6)
Green function for wave equation.