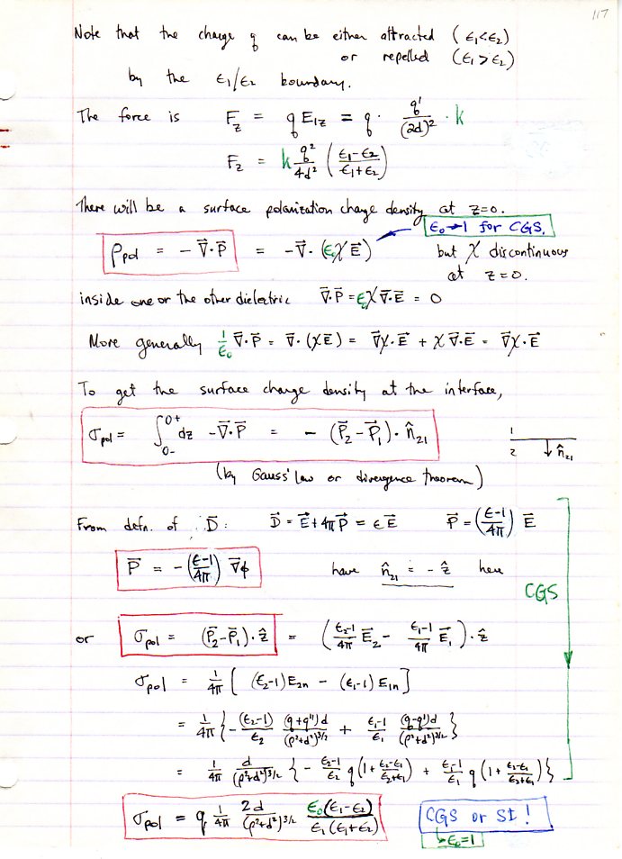
Multipoles, Macroscopic Media, Dielectrics (Jackson, Ch. 4)
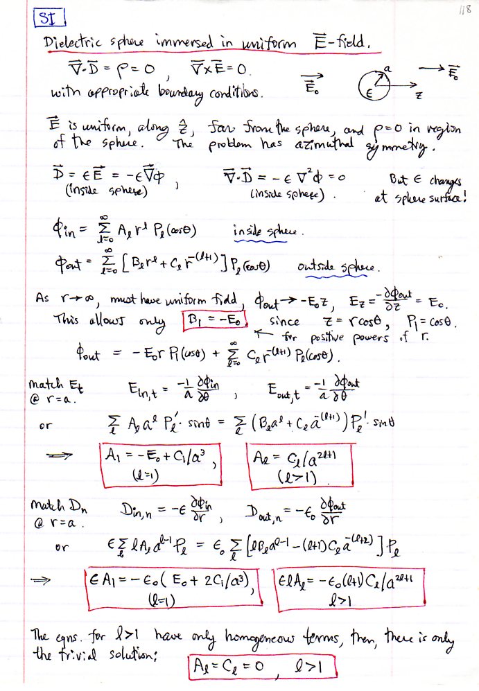
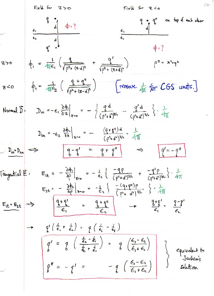
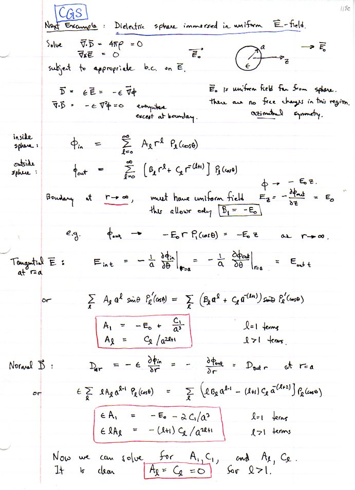
Boundary value problems with dielectrics (SI & CGS units).