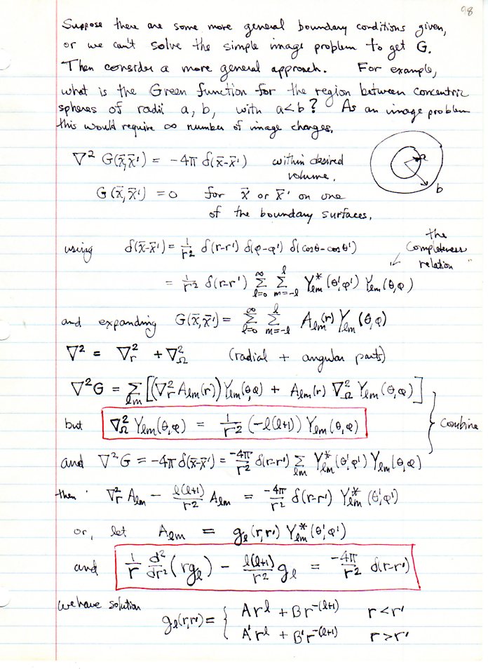
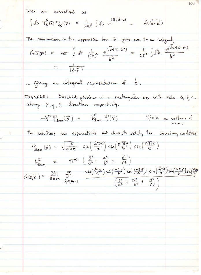
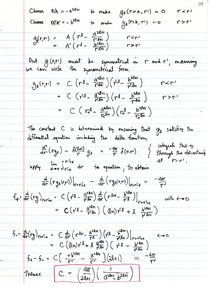
Electrostatic Boundary Value Problems II (Jackson, Ch. 3)
On finding Green's functions in 3D and using eigenfunction expansions.