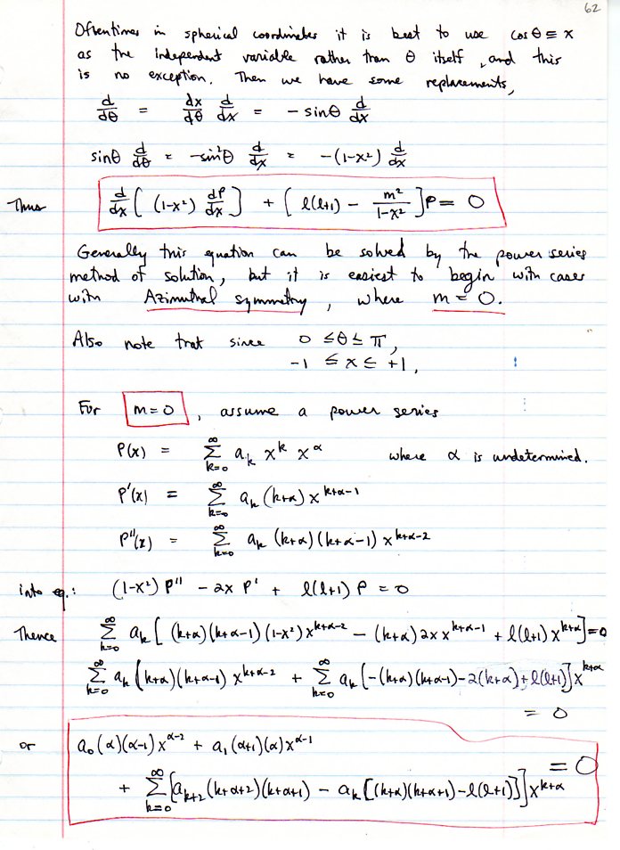
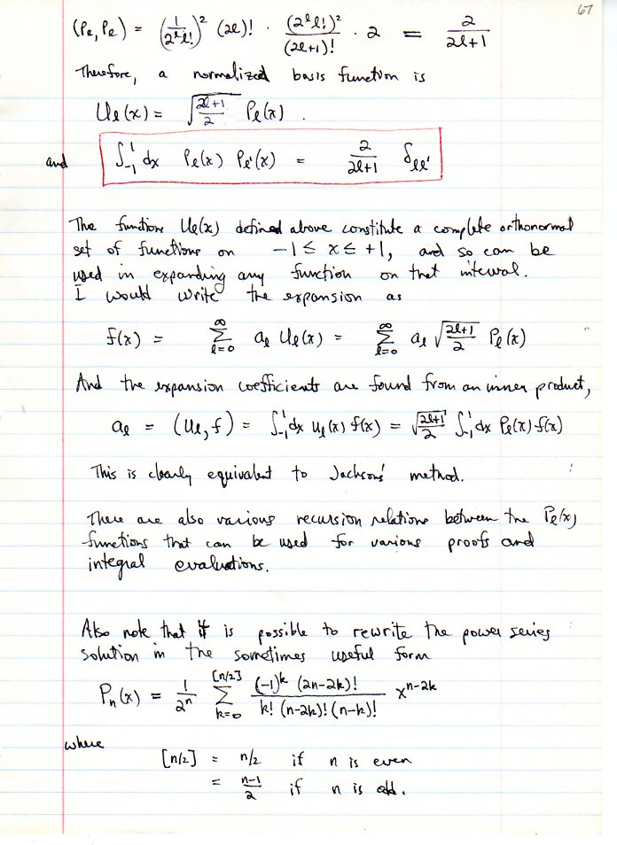
Electrostatic Boundary Value Problems II (Jackson, Ch. 3)
Laplace Equation in Spherical coordinates, general analysis.