Electrostatic Boundary Value Problems I (Jackson, Ch. 2)
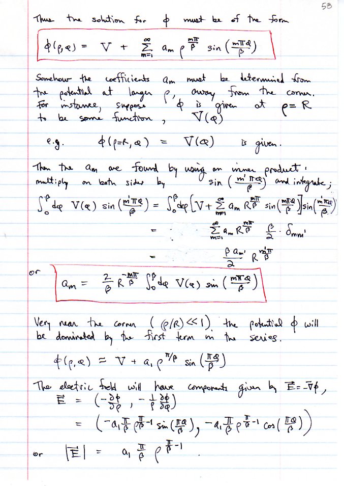
Laplace Equation in 2D corners.