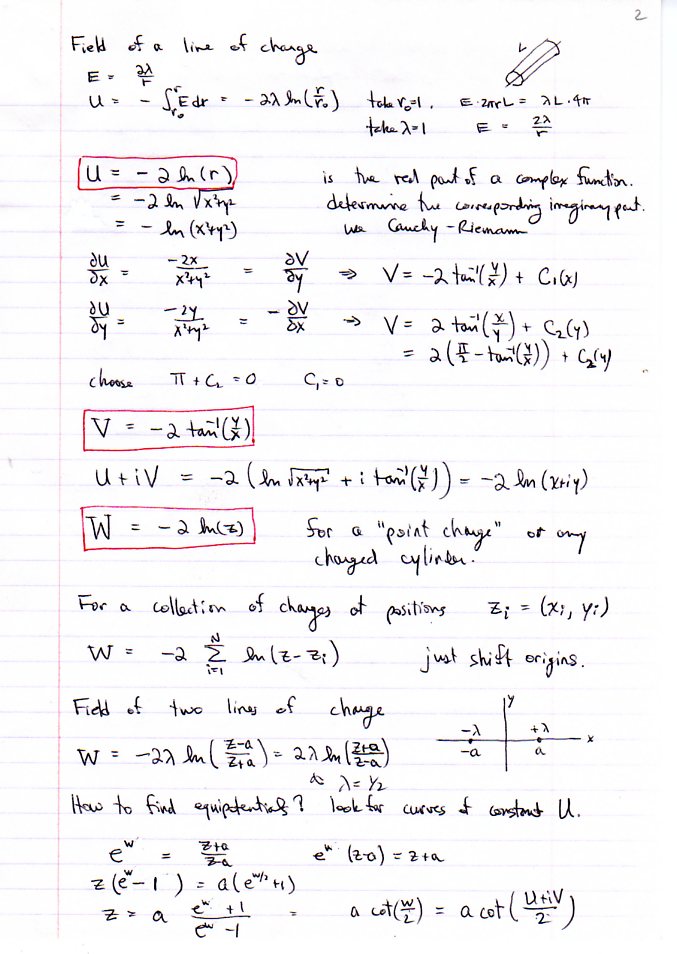
Electrostatic Boundary Value Problems I (Jackson, Ch. 2)
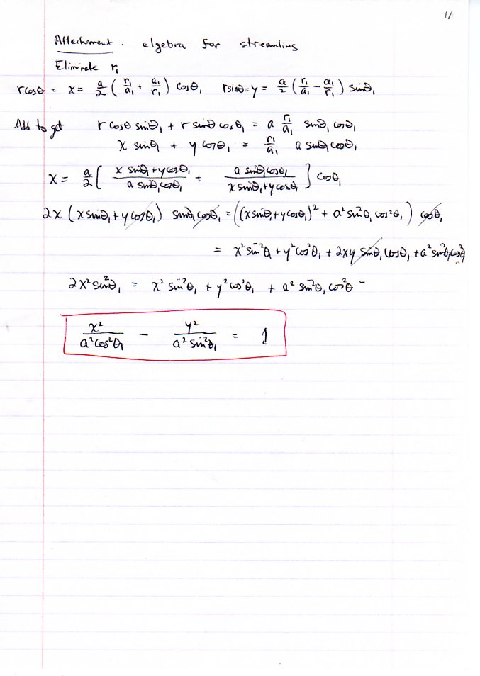
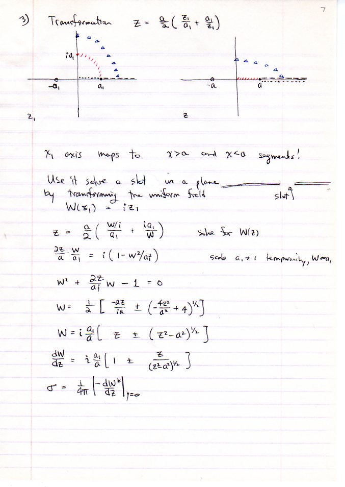
Conformal mapping solutions for 2D geometries.