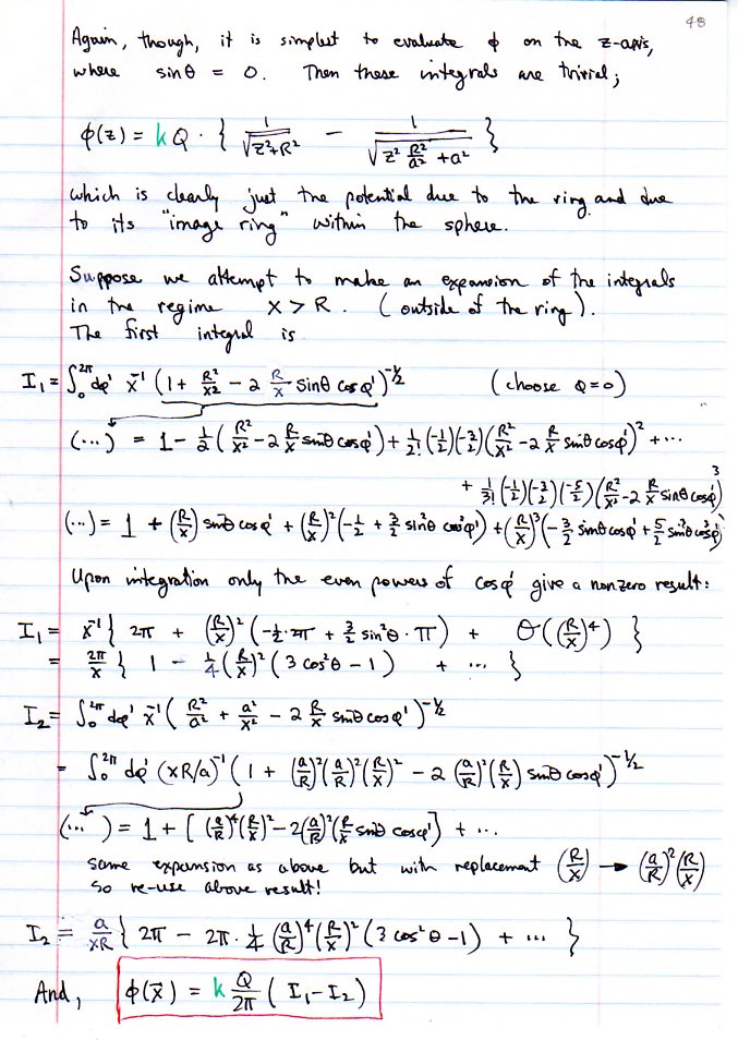
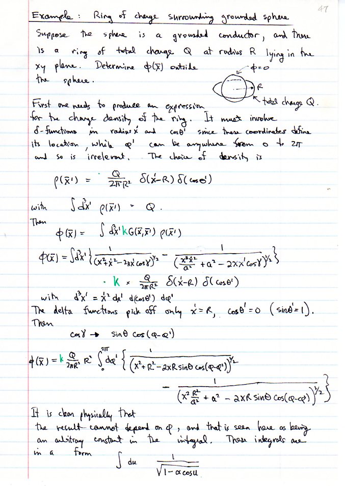
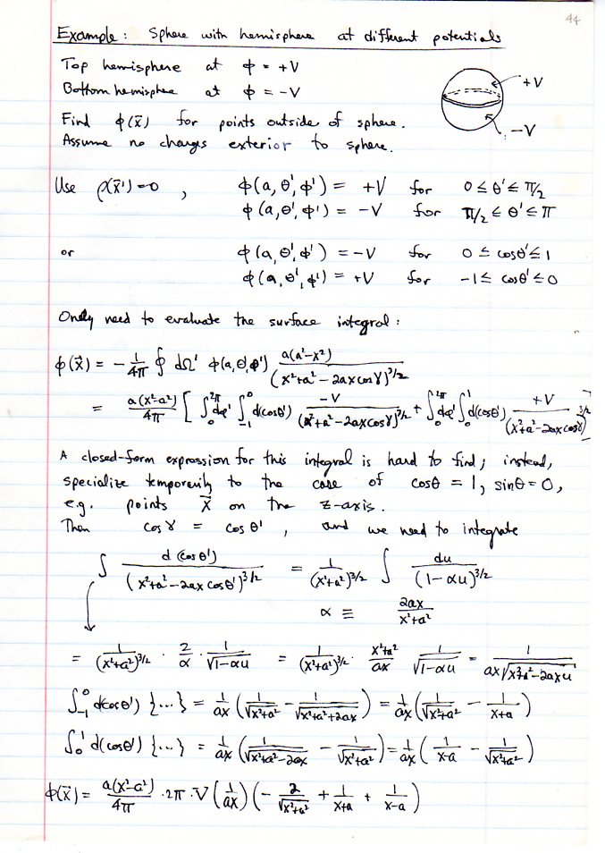
Electrostatic Boundary Value Problems I (Jackson, Ch. 2)
Green function construction from image solutions.