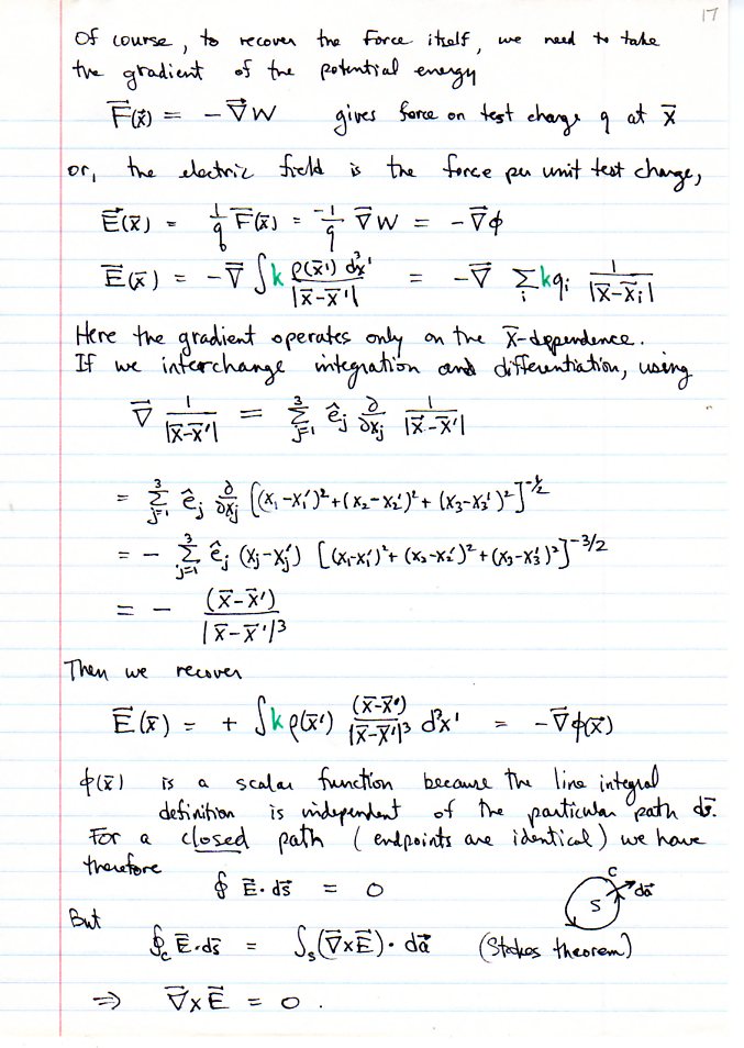
Electrostatics in Vacuum (Jackson, Ch. 1)
Gauss' Law, electrostatic potential, field energy.