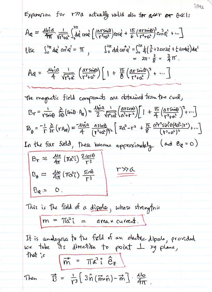
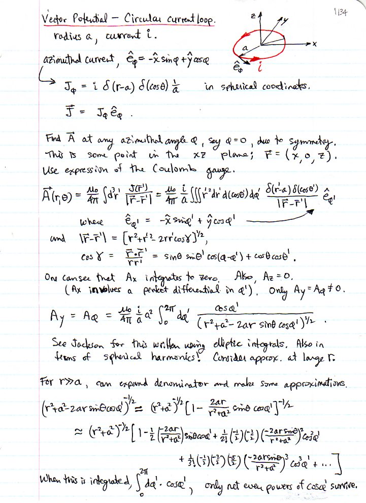
Magnetostatics and Magnetic Materials -- SI (Jackson, Ch. 5)
Magnetic Induction B, Forces, Biot-Savart Law and Ampere's Law.