Engineering Physics I, Physics 213, 223 (Gary Wysin)
Kansas State University, Spring 2004, 2006.
Spring 2006 Office Hours:
Tuesday, Thursday, 2:30-4:30.
Gary Wysin, Cardwell 309, 532-1628.
For more course information, go here:
Spring 2006 Physics 213 Syllabus (pdf).
Spring 2006 Physics 213 Schedule (pdf).
K-State Online
Lecture Notes from Spring 2004
Here I've summarized some of the notes from lectures, as well as
other important parts that may have been only briefly discussed.
Chapter numbers are from Halliday, Resnick and Walker, 6th edition.
Make sure you know what to do with the important formulas,
the meanings of the symbols, etc!!
- Week 1. Ch. 1 -- Measurements and Units
- Week 1. Ch. 2 -- Straight line motion (velocity, acceleration)
- Week 2. Ch. 2 -- Constant acceleration and free fall
- Week 2. Ch. 3 -- Vectors--quantities with magnitude and direction
- Week 3. Ch. 4 -- Motion in 2 and 3 dimensions, projectiles
- Week 3. Ch. 4,5 -- Uniform circular motion. Forces. Newton's 1st and 2nd Laws
- Week 4. Ch. 5 -- Newton's 2nd and 3rd Laws.
- Week 4. Ch. 5 -- Applying Newton's Laws
- Week 5. Ch. 6 -- Static and kinetic friction.
- Week 5. Ch. 6 -- Forces in circular motion.
- Week 6. Ch. 7 -- Work and kinetic energy.
- Week 6. Ch. 7 -- Work due to various forces.
- Week 7. Ch. 8 -- Potential energy; Conservation of mechanical energy.
- Week 7. Ch. 8 -- Force from potential; Conservation of total energy.
- Week 8. Ch. 9 -- Center of mass; Conservation of momentum.
- Week 8. Ch. 10 -- Impulse; Inelastic collisions.
- Week 9. Ch. 10 -- Elastic collisions; 2D collisions.
- Week 9. Ch. 11 -- Rotation, rotational inertia.
- Week 10. Ch. 11,12 -- Torque=I*alpha, rolling.
- Week 10. Ch. 12 -- Angular momentum; Conservation of angular momentum.
- Week 11. Ch. 13 -- Objects in static equilibrium.
- Week 11. Ch. 14 -- Crash course in Gravitation.
- Week 12. Ch. 15 -- Fluid mechanics.
- Week 12. Ch. 16 -- Mechanical oscillators.
- Week 13. Ch. 17 -- Wave motion, general description.
- Week 13. Ch. 18 -- Propagation of sound as waves.
- Week 14. Ch. 19 -- Thermal energy, 1st Law of thermodynamics.
- Week 14. Ch. 20 -- Ideal gases and kinetic theory.
- Week 15. Ch. 21 -- Entropy, heat engines, 2nd Law of thermodynamics.
Spring 2006 Studio Quizzes
- Jan. 19. Quiz 1 (straight line motion, acceleration, etc.)
    Quiz 1 solution
- Jan. 24. Quiz 2 (vertically launched free-fall projectile)
    Quiz 2 solution
    Another Quiz 2 solution
- Jan. 26. Quiz 3 (2D projectile motion)
    Quiz 3 solution
- Jan. 31. Quiz 4 (Applying Newton's 2nd Law)
    Quiz 4 solution
- Feb. 2. Quiz 5 (Newton's 2nd Law with two masses)
    Quiz 5 solution
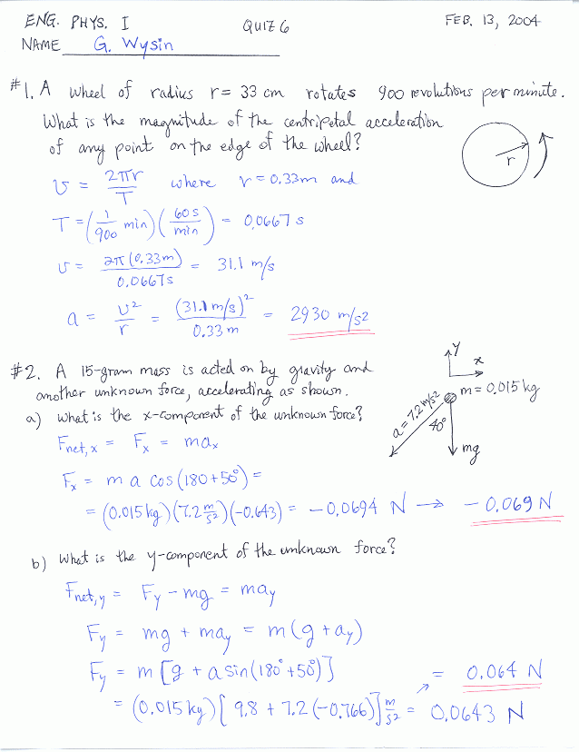
- Feb. 7. Quiz 6 (Two-block acceleration with static/kinetic friction)
    Quiz 6 solution
- Feb. 9. Quiz 7 (Circular motion: Airplane making a banked turn)
    Quiz 7 solution
- Feb. 14. Quiz 8 (Rocket-car velocity by work and energy theorem)
    Quiz 8 solution
- Feb. 16. Quiz 9 (Work by gravity in falling mass on a cord)
    Quiz 9 solution
- Feb. 21. Quiz 10 (Energy conservation including sliding friction)
    Quiz 10 solution
- Feb. 23. Quiz 11 (Energy conservation. spring, sliding friction, slope)
    Quiz 11 solution
- Feb. 28. Quiz 12 (Exploding projectile, conserved center of mass)
    Quiz 12 solution
- Mar. 2. Quiz 13 (Colliding masses with a spring interaction)
    Quiz 13 solution
- Mar. 7. Quiz 14 (Angular acceleration and rotational energy)
    Quiz 14 solution
- Mar. 9. Quiz 15 (Angular acceleration from Newton's Laws)
    Quiz 15 solution
- Mar. 14. Quiz 16 (Rolling acceleration of a cylinder wrapped by a cord)
    Quiz 16 solution
- Mar. 16. Quiz 17 (Conservation of angular momentum on a merry-go-round)
    Quiz 17 solution
- Mar. 28. Quiz 18 (Static equilibrium, of a shelf on a wall)
    Quiz 18 solution
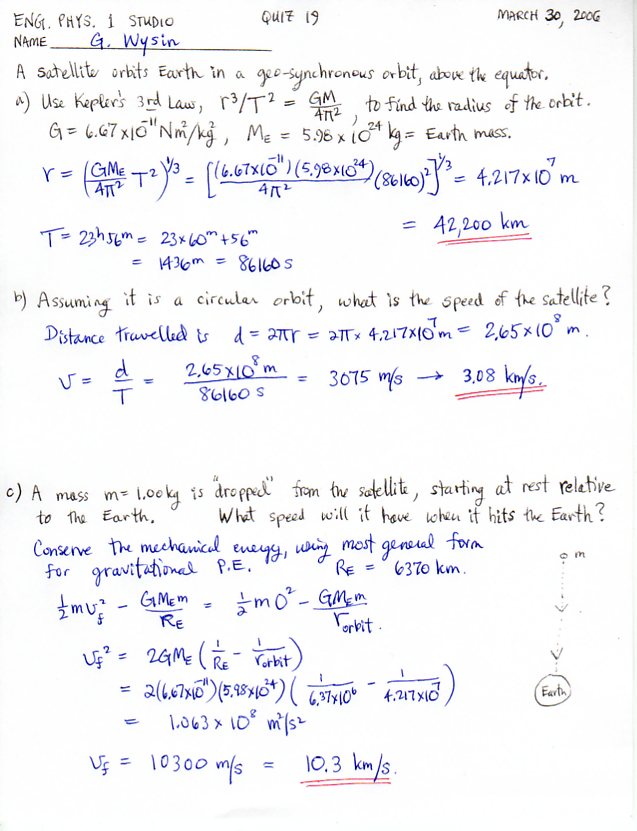
- Mar. 30. Quiz 19 (Motion in a geo-synchronous orbit)
    Quiz 19 solution
- Apr. 4. Quiz 20 (Bouyant effect of a helium balloon)
    Quiz 20 solution
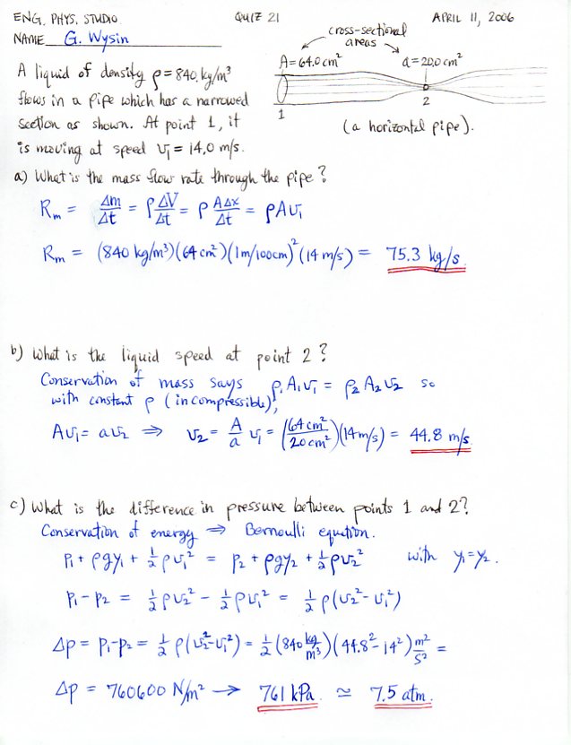
- Apr. 11. Quiz 21 (Flow rate, Bernoulli, and velocity/pressure changes)
    Quiz 21 solution
- Apr. 13. Quiz 22 (Frequency of a physical pendulum)
    Quiz 22 solution
- Apr. 18. Quiz 23 (Oscillations of a string fixed at the ends)
    Quiz 23 solution
- Apr. 20. Quiz 24 (Doppler effect on sound from a bat)
    Quiz 24 solution
- Apr. 25. Quiz 25 (Specific heat and heat transfer)
    Quiz 25 solution
- Apr. 27. Quiz 26 (Work of expansion, 1st Law of Thermodynamics)
    Quiz 26 solution
- May 2. Quiz 27 (Changes during an adiabatic expansion)
    Quiz 27 solution
- May 4. Quiz 28 (Kinetic theory; Heat in a thermodynamic process)
    Quiz 28 solution
Spring 2004 Studio Quizzes
- Jan. 28. Go to WebAssign
to do the extra credit Quiz 1 and homework 1 by 4:30 p.m., Jan. 28.
- Jan. 30. Quiz 2 (straight line motion).
    Quiz 2 solution
- Feb. 4. Quiz 3 (constant acceleration).
    Quiz 3 solution
- Feb. 6. Quiz 4 (vector addition, dot product).
    Quiz 4 solution
- Feb. 11. Quiz 5 solution (Lab Manual problem 4.3.1, projectile motion)
- Feb. 13. Quiz 6 (centripetal acceleration; Newton's 2nd Law).
    Quiz 6 solution
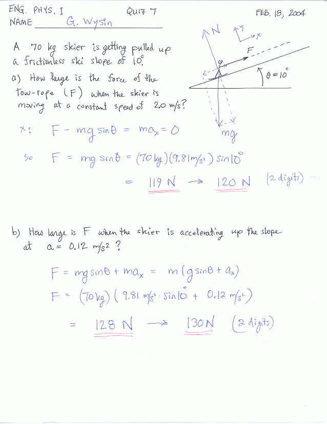
- Feb. 18. Quiz 7 (skier on a slope, Newton's 2nd Law).
    Quiz 7 solution
- Feb. 20. Quiz 8 (ascending plane, Newton's 2nd Law).
    Quiz 8 solution
- Feb. 25. Quiz 9 (static and kinetic friction).
    Quiz 9 solution
- Feb. 27. Quiz 10 (uniform circular motion).
    Quiz 10 solution
- Mar. 3. Quiz 11 (Work on rocket by thrust and gravity).
    Quiz 11 solution
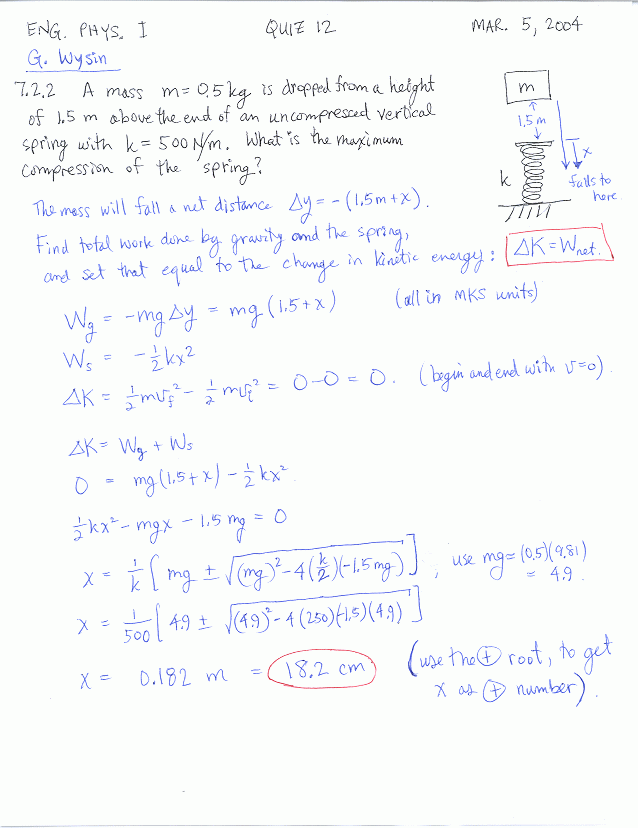
- Mar. 5. Quiz 12 (Work on a mass by gravity and a spring).
    Quiz 12 solution
- Mar. 10. Quiz 13 (Conservation of energy--spring+gravity).
    Quiz 13 solution
- Mar. 12. Quiz 14 (Dissipation of mechanical energy).
    Quiz 14 solution
- Mar. 17. Quiz 15 (Center of mass, conservation of momentum).
    Quiz 15 solution
- Mar. 19. Quiz 16 (Impulse, conservation of momentum).
    Quiz 16 solution
- Mar. 31. Quiz 17 (An elastic 1D collision).
    Quiz 17 solution
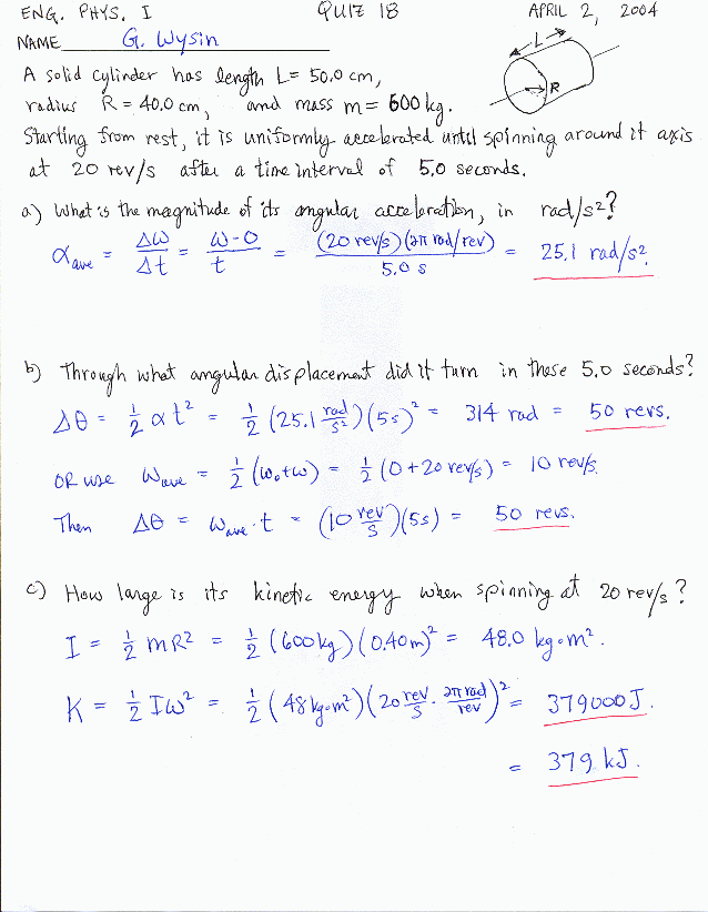
- Apr. 2. Quiz 18 (Rotational acceleration and kinetic energy).
    Quiz 18 solution
- Apr. 7. Quiz 19 (Object rolling down a slope).
    Quiz 19 solution
- Apr. 9. Quiz 20 (Conservation of angular momentum).
    Quiz 20 solution
- Apr. 14. Quiz 21 (Static equilibrium).
    Quiz 21 solution
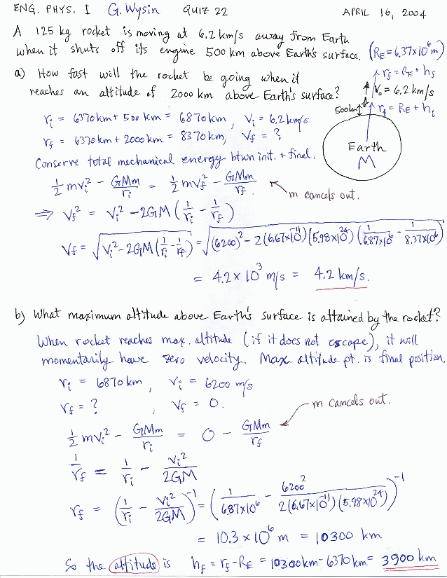
- Apr. 16. Quiz 22 (Gravitational potential energy).
    Quiz 22 solution
- Apr. 21. Quiz 23 (Bouyant force on a floating object).
    Quiz 23 solution
- Apr. 23. Quiz 24 (Period of a physical pendulum).
    Quiz 24 solution
- Apr. 28. Quiz 25 (Fundamental oscillation mode on a string).
    Quiz 25 solution
- Apr. 30. Quiz 26 (Sound level and Doppler effect).
    Quiz 26 solution
- May 5. Quiz 27 (Heat and work in thermodynamics).
    Quiz 27 solution
- May 7. Quiz 28 (Ideal gas processes and specific heat).
    Quiz 28 solution
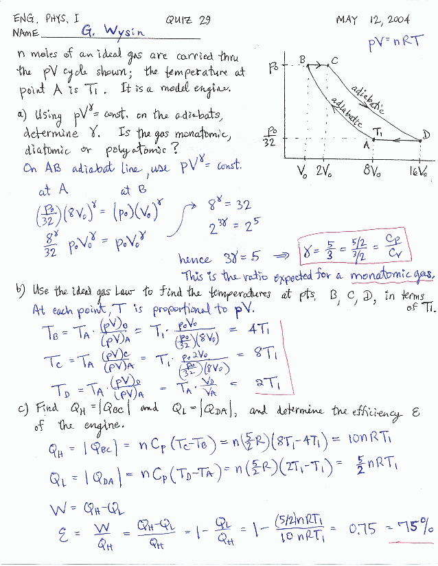
- May 12. Quiz 29 (Model pV cycle for an engine).
    Quiz 29 solution
Fall 1998 Recitation Quiz Solutions:
Old Exams and/or Solutions:
- Spring 2004, 1. Chs. 1--5,
2. Chs. 6--8 ,
3. Chs. 9--14 ,
4. Chs. 15--20 ,
Final. Chs. 1--21,
- Spring 2004, Exam 1 Key ,
Exam 2 Key,
Exam 3 Key,
Exam 4 Key,
  Final Exam Key,
- Fall of 1998, Exam 1 Key,
Exam 2 Key,
Exam 3 Key,
Exam 4 Key,
Exam 5 Key,
- Spring 1998, Exam 1 Key,
Exam 2 Key,
Exam 3 Key,
Exam 4 Key,
- Fall of 1997, Exam 1 Key,
Exam 2 Key,
Exam 3 Key,
Exam 4 Key,
Exam 5 Key,
Other Links At KSU
[Error Creating Counter File]
access since 2006/02/09.
DOCUMENT_URI=
/personal/wysin/EPI/index.htm
URL=
/personal/wysin/EPI/index.htm
REMOTE_HOST=
171.67.65.203
Environment=
Last update: Thursday May 04 2006.
email to -->
wysin@phys.ksu.edu