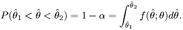
Given a parameter or parameters fit to data according to a model:
CL is
."Multi-dimensional confidence region:
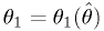
Two-parameter confidence regions for fitted parameters of neutrino oscillations (A) and CP violation (B), taken from [KamLAND2008] and [DZero2010], respectively.
The endpoints of a confidence interval (or the boundaries of a region) are determined by data, and therefore are random variables.
The p.d.f.s of the data in the model hypothesis together with the procedure used to choose the region determine the coverage level.
In general, confidence regions for parameter(s)
are defined by

where
is the confidence level. [Larson]
An okay procedure for can have a CL that depends on the true values
of the unknown parameter(s) of the model, but still meets the
inequality above. A very clever procedure can have a CL that is
equal to
regardless of the true model parameter(s).
One such procedure is due to Neyman, described in [PDG-Stat].
There are shortcuts for gaussian statistics, and some texts only describe those, but I'll keep it more general.
of the data into
a uniform random variable
. If it is less than 0.1, define an
infinitely thin confidence region; otherwise, define the region to
include all possible parameters. This is an interval, and it has
90% coverage -- but it's not the kind of 90% CL interval we're looking for.Consider an estimator
for some constant
.
Suppose our model tells us that the
is a gaussian
random variable with mean
and standard deviation
.
What is the difference between the rms of the estimator and the region with 67% coverage?
(Draw picture.)
The following intervals could all have the same coverage and contain the best fit:



(Following section 32.3.2.1 in [PDG-Stat].)
Find intervals for each value of the parameter
such that

Here
is the p.d.f. of the estimator
.
and
should depend on
monotonically.
The functions are invertible:
implies
.
Then (see figure)

Suppose we toss a coin
times. The coin may or may not be fair. We have
an unknown probability
of the coin coming up heads,
tails.
The maxmimum likelihood estimator for
is

where
is the number of times the coin came up heads.
The probability distribution of
is known:

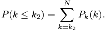
We can find the sum

Use that to define the upper limit according to the Neyman procedure. (The lower limit of the interval is set to 0.)
(...picture...)
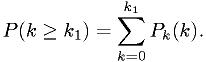
We can find the sum

Use that to define the lower limit according to the Neyman procedure. (The lower limit of the interval is set to N.)
(...picture...)
Suppose our procedure (perhaps not consiously decided) were to report
a "95% CL" upper limit for
if
turned out very small, and
a "95% CL" lower limit for
if the
is near 1.
times, we'd report
at "95%
CL", and do the opposite if we got heads all
times.What's wrong with that? Suppose the coin is fair, and
really.
10% of the time, we make report implying that the fair coin is unfair "with 95% CL".
One common approach: use
and
to define the intervals.
The only problem is that sometimes this isn't possible. E.g., if we get
tails all
times,
, the probability at one end is constrained.
Then we have to adjust somehow,
Very similar to the two-sided limit, except we pick the edges of the region to have a given log-likelihood. If the parameter space has a boundary, no problem, just adjust the log-likelihood level to encompass enough space.
In general, the p.d.f. of the log-likelihood is generated via MC for each parameter.
Read sections 32.3.2.1 and 32.3.2.2 in [PDG-Stat].
Build the 90%-CL and 99%-CL confidence regions for the same
exponential + background of the assignment from class 11 (aka class
0x0B), with the restriction that the background parameter
must be
in the range
and the mean
must be positive.
| [KamLAND2008] | KamLAND Collaboration, "Precision Measurement of Neutrino Oscillation Parameters with KamLAND", Phys.Rev.Lett.100:221803,2008; arXiv:0801.4589v3 [hep-ex]. |
| [DZero2010] | D0 Collaboration, "Evidence for an anomalous like-sign dimuon charge asymmetry", Submitted to Phys. Rev. D, 2010; Fermilab-Pub-10/114-E; arXiv:1005.2757v1 [hep-ex]. |
| [PDG-Stat] | "Statistics", G. Cowan, in Review of Particle Physics, C. Amsler et al., PL B667, 1 (2008) and 2009 partial update for the 2010 edition ( http://pdg.lbl.gov/2009/reviews/rpp2009-rev-statistics.pdf ). |