I'm going to assume you already know about the following:
iff
and
independent.)
)See References.
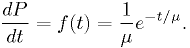
Suppose the correct model for the distribution of light bulb lifetimes [*] is

The expectation value for
is the mean,
![E[t] = \int_0^\infty t f(t) dt = \mu](./imgmath/e16601c58979faeada7ca0f12c552267.png)
The expectation value for the variance is
![E[(t-\mu)^2] = V[t] = \int_0^\infty (t-\mu)^2 f(t) dt = \mu^2](./imgmath/2d6690db9fdc867e73e6130a62eeac67.png)
| [*] | Note: this is almost certainly not a good model for light bulb lifetimes. |
, the observed
distributions will converge to the true p.d.f. in the limit
.
.A statistic is a quantity depending on random variables. A statistic is therefore itself a random variable with its own p.d.f.
Mean:
Mean of squares:
Cumulative distribution statistic:
The last is an example of a statistic that is also a function of a
parameter
. It should approach the cumulative distribution function
as
.
Using the same p.d.f. as in the earlier example, and assuming independent light bulb lifetimes,



, the
distribution of
will approach a gaussian with mean
,
variance
.
in the example.
can be used directly as an estimator for
, since
.
provides an estimator for
, but
not an unbiased one.
.The statistical moments are not necessarily the least biased, most efficient, or most robust estimators.
, mathematically.
.Another statistic one can construct for a data set is the likelihood:

is a random variable, with it's own p.d.f.
depend on some parameters
, the
is also
a function of
.
independent observations of
.
or a "probability" of the theory to be true.
is a random variable, then the value of
that maximizes
is a random variable. Call it
.
is a consistent estimator for
.
.
,
i.e., it is efficient.
may represent any number of parameters.The inverse
of the covariance matrix
can be estimated
using

For large samples or perfectly Gaussian probabilities,
has a "Gaussian form",
becomes parabolic in
.
-standard-deviation error contours
for the parameters
can be found at
.Finding proper confidence intervals in the more general case will be discussed in a later class.
It is usually easier to maximize

Equivalently, one minimizes the "effective chi-squared" defined as
. For Gaussian statistics, this is exactly the
chi-squared, if the standard deviations are known.
It is important to include all dependence on
in
,
including normalization factors.
For
,

Find the maximum likelihood estimator for
.
For real
,

Find the maximum likelihood estimator for
and
.
For integer
,

Find the maximum likelihood estimator for
.
For real
,

Find the maximum likelihood estimator for
and
.
Note the estimator for
is asymptotically unbiased in the limit
of large
, but not unbiased at finite
. The bias can be corrected
without degrading the asymptotic RMS of the estimator.
Once you know how to minimize a function, and you know the p.d.f.s of the data in your model, then numerical implementation of the maximum likelihood method is easy. Just write the function to calculate:

Then minimize it.
Note: if you have too many parameters, you might need to simplify it some, perhaps by pre-fitting some of the parameters in some faster way.
Make a maximum likelihood fit of the data in "dataset 1" provided on the course web page to the following model:

By "make a maximum likelihood fit", I mean "estimate the parameters
using the maximum likelihood method":
.Make a maximum likelihood fit of the data in "dataset 2" provided on the course web page to the following model:

By "make a maximum likelihood fit", I mean "estimate the parameters
using the maximum likelihood method":
In the following, (R) indicates a review, (I) indicates an introductory text.
(R) "Probability", G. Cowan, in Review of Particle Physics, C. Amsler et al., PL B667, 1 (2008) and 2009 partial update for the 2010 edition (http://pdg.lbl.gov).
See also general references cited in PDG-Stat.
(R) "Probability", G. Cowan, in Review of Particle Physics, C. Amsler et al., PL B667, 1 (2008) and 2009 partial update for the 2010 edition (http://pdg.lbl.gov).
See also general references cited in PDG-Prob.