We have some model with one or more adjustable parameters
and a
function that describes how well the model fits some set of
measurements. Let's call this goodness-of-fit function
. This
function depends on the parameters of the model, so
.
Our main problem: Find the value of
which minimizes
.
This looks like a job for our function minimizer!
Secondary task: Estimate how far each
can be perturbed from its
best fit value without increasing the
by more than some amount.
This is used for estimating parameter uncertainty ranges or
tolerances. This can be done using the Hessian matrix at the best fit
point.
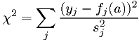
A common choice for the
function is the sum of the squares of
normalized deviations of the measurements from the model. For
independent measurements
, and corresponding values from
the model
,
![F(\underline{a}) = \chi^2(\underline{a}) = \sum_j \frac{[y_j-f_j(\underline{a})]^2}{s_j^2}.](./imgmath/53d7252a657e10d356029467d987d799.png)
What we choose for
depends on our purpose in fitting the model
to the data.
equal
to our best estimate of the RMS error of measurement
. If the
measurement errors are gaussian and independent, we have a true
random variable.
to be appropriate tolerances for that purpose.There are other possibilities for the goodness-of-fit function. (See Other goodness-of-fit functions.)
Situation: for some reason, you have to use an imperfectly calibrated voltmeter. You record the voltmeter readings at several known voltages from a well-calibrated source. You want to be able to convert any reading to the true voltage. You care more about the accuracy in some voltage ranges than in others.
| True voltage | Readout | Readout precision | Required accuracy |
|---|---|---|---|
| 0.000 | 0.000 | 0.001 | <0.001 |
| 0.500 | 0.501 | 0.001 | 0.01 |
| 1.000 | 1.006 | 0.001 | 0.01 |
| 1.500 | 1.512 | 0.001 | 0.003 |
| 3.000 | 3.060 | 0.001 | 0.006 |
| 5.000 | 5.139 | 0.001 | 0.01 |
| 9.000 | 9.450 | 0.001 | 0.01 |
| 12.00 | 12.80 | 0.01 | 0.1 |
| 18.00 | 19.80 | 0.01 | 0.1 |
, where
is the reading,
and
should give the true voltage. Chose
and
for best fit
of true voltage as a function of readout, using your required accuracy
as the weights
.
is theoretically a function of the input voltage
, with
, so you should fit readout
voltage to true value and invert
.A statistician agrees, and further says you should use the readout precision, not your required accuracy.
What do you do?
Go with your first idea:

where
is the readout,
is the voltage, and
is required
accuracy. Then you will have your useful and easy-to-use function
.
Now just code that
function and run a general-purpose
function minimizer. Start it at
, which is close
to the right solution.
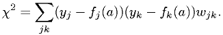
The function

is more generally (in case of correlated measurements)

In matrix form,

Taking the derivatives with respect to
and setting them
to zero to find the minimum
,


where
.
If we can solve this for
, we're done.
Suppose our model is
,
where the
's depend on the measurement index
but not on any parameter.
In matrix form,

where the
are fixed. Then general problem for the
minimum
given above becomes simply

which has the exact solution:

The voltmeter fit function from the previous example is just the sum of coefficients times fixed functions, exactly the special case above.
N.B. Even though the model for voltmeter was "non-linear", it was a linear superposition of fixed functions. So this is perfect for the "linear fit". This is a commonly occuring case, worth remembering.
Contrast with this case: fit
to some
measurements
for known
. The
and
parameters can be
found quickly by the linear fit for given
and
, but
the latter two parameters have to be found by the general minimization
routine.
The mean orbital distance
of a planet in the solar system supposedly
fits the relation

where
, and
| Planet | m | Observed a (AU) |
|---|---|---|
| Mercury | ![]() |
0.39 |
| Venus | 0 | 0.72 |
| Earth | 1 | 1.00 |
| Mars | 2 | 1.52 |
| Ceres | 3 | 2.77 |
| Jupiter | 4 | 5.20 |
| Saturn | 5 | 9.54 |
| Uranus | 6 | 19.2 |
| Neptune | ![]() |
30.06 |
| Pluto | 7 | 39.44 |
What are the best
and
to calculate all planets' mean orbital
distances to the same fractional precision?
Feel free to use the minimizer code example from the previous lecture, and just rewrite the function to minimize.
Alternatively, you can base your C++ code on any fitting example from the ROOT website's "howto" or "tutorial" sections.
Alternatively, use the linear fit solution. (But program it, don't just use Matlab or Maple.)
In other cases, we might use a different function for goodness-of-fit.
Our measurements have non-Gaussian statistics according to our model, and we're really interested in the model or the model parameters themselves:
Our measurements have Gaussian statistics, but there's a correlation between the measurement errors:
There's a straightforward generalization of the
function,

where
is the covariance matrix.
(Derived from the Gaussian probability distribution.)
Our measurements consist of
uncorrelated quantities at
points:
independent measurements.Our measurements are similar to the previous case, but our model has
a large number
unknown parameters, each of which affects just
the
measurements at one of the
points:
parameters at each point
(ideally from an analytic analysis, such as the linear fit case).
Define the global
of the remaining parameters, with the
parameter already optimized.There are many other cases, each can be treated by a consideration of the likelihood function and/or the tolerances of your fit for your technical application. Most common cases are covered in the standard references.
Press, et al., Numerical Recipes.
G.Cowan, "Statistics", in The Review of Particle Physics, C. Amsler et al. (Particle Data Group), Physics Letters B667, 1 (2008) and 2009 partial update for the 2010 edition. http://pdg.lbl.gov