Finding a root of a function (1-d): Solve
for
.
, root can be found by bisection.
, root can be found using Newton's method.Finding root(s) of N functions of N variables: Solve
for
.
, where
is a
single function, or (N-M)-dimensional contours where M functions are zero.Give the algorithm a good starting point.
For 1-d root-finders, provide a bracket for the root.
is one in which the function has opposite sign at
the two end:
and
or
and
.For the multi-dimensional case, bracketing isn't feasible. The algorithms generally need
not too far from the root.Shrink bracket until the root is pinned down, as follows:
,
tolerance
, and function
.
.

has same sign as
, then


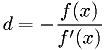
Repeatedly "shoot for the zero," using the approximation


Potential problems can occur when far from the root:
is small.
has wrong sign.
gets shallower farther from the root.(... Draw figures on board, insert in notes later ...)
and
functions, initial
, and
tolerance
.

.Important note:
should be small enough for your application,
but no smaller. Make sure it is large enough that
is
different from
in your machine's floating point representation.
Use bracketing to protect against any craziness, bisect whenever a Newton's method step fails.
and
functions, bracket
, and
tolerance
.
.

in range
?
.See full example in Numerical Recipes (sec 9.4 in 2nd or 3rd ed.).
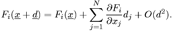
We have
functions
of
variables
, and want to find the zeros.
There's a great illustration in Numerical Recipes showing why this is hard in general. (Fig. 9.6.1.) If you want to seek the nearest zero to some point, Newton's method should work.

In matrix notation,

using the Jacobian matrix
![\underline{\underline{J}} =\left[ J_{ij} \right] \equiv \left[ \frac{\partial F_i}{\partial x_j} \right].](./imgmath/72180bcde7ea27fc1998b8728ea19245.png)
To find the root, repeatedly solve

Update
until convergence
.
Finding a local minimum: find value for which
or
is locally minimized. (To find maxima, just
minimize
.)
I will describe one particularly pretty 1-d minimization algorithm that requires no calculation of derivatives and that is guaranteed to find a local minimum.
There are faster algorithms that use derivatives, for 1-d and multi-d problems, including ones that only need the user-supplied function. (These algorithms estimate the derivatives themselves.)
I'll describe the general properties of these, and then we will talk about how to use pre-written implementations.
Similar to bisection, except it starts with a triplet of values
such that
at the middle point is less than at the two ends:
and
.
(... figure ...)
General outline of algorithm:
, function
, and tolerance 
and try it (*).
as edge of bracket
.(*) The point
is chosen in the range
or
such that
the updated triplet will have the same proportions as the original triplet.
The ideal ratio turns out to be the golden mean.
Near minimum, to 2nd order,


Terminology: The matrix
is called the Hessian.
The vector
is the gradient.

At an extremum,
. So we just solve

Essentially the same algorithm as Newton's method works if we know
and
well enough.
Various algorithms differ in how they guard against crazy steps and whether they need the caller to provide a function for the derivatives or Hessian.
) and
1st derivatives, we can use an algorithm that uses them.What's common among the algorithms:
.
not too far from the
minimum being sought.Numerical Recipes has many different algorithms.
More importantly, there are existing libraries for minimization of functions.
C++ lets you define a new class based on an existing class, like this:
class NewClass : public BaseClass {
// usual class definition
};
This defines NewClass as having all the same data and member functions as BaseClass, with the following enhancements:
| C++ | C |
class MyBase {
int i;
public:
virtual void set_i(int ii);
};
class MyClass2 : public MyBase {
int j;
public:
virtual void set_i(int ii);
virtual void set_j(int jj);
};
|
struct MyBase_s {
int i;
void (*set_i)(int ii);
};
struct MyClass2_s {
strict MyBase_s base;
int j;
void (*set_j)(int jj);
};
|
| C++ constructor sets virtual function table for new MyClass2 object's set_i and set_j to the correct addresses for MyClass2::set_i() and MyClass2::set_j(). | For any new MyClass2_s variable made, C programmer has to set the values of .set_j and .base.set_i pointers to point to the right functions, and i field must be accessed as base.i. |
See very nice documentation in GNU Scientific Library Reference Manual, section titled "Multidimensional Minimization". http://www.gnu.org/software/gsl/manual/html_node/Multidimensional-Minimization.html
Things to note about how they write documentation:
Things to note about the API:
The best documentation from the authors is at http://root.cern.ch/root/html526/TMinuitMinimizer.html
.Get the ROOT examples from the course web page to compile and run.