
where
is the independent variable,
are the dependent variable, and underlines denote vectors.
This looks like a first-order ODE, but it can represent a higher
order ODE with a simple "chain" of variables. E.g.,
can be implemented by defining
, and

We can also eliminate explicit
dependence by making it one of the
elements of
.
Note: I'm going to drop the underlines now, but
and
are still vectors.
. The step size is conventionally called
.Euler 1st order:




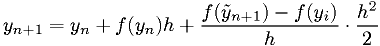
*** If we require that only the function
be specified
in analytic form, not its derivatives, then
has to be estimated from
previous or future values of
in some clever way.

where
is the
Euler's method approximation for
.
This is equivalent to


where




General principles:
The API can be very simple: just one function to advance one step.
The ODE step function takes three arguments:
. (A vector<double>.)
. (A pointer to a function.)
.There are two options for how to return the updated value:
"in place" (pass by reference).The
function takes a little more thought.
The straight-forward way: pass-by-value, return a value:
vector <double> f( vector<double> y );
Pass-by-reference (in and out):
void f(const vector<double> &y, vector<double> &f_out);
The second way is up to a factor of 2 faster because it requires less copying of data between memory locations.
typedef void f_vect_vect_t(const vector<double> &y,
vector<double> &f_out);
void rk4step(vector<double> &y,
f_vect_vect_t * fptr,
double h);
Good "namespace" citizenship:
We know the solutions to
and to
.
Let's test the Euler ODE solver with that case.
Code: see course web page.
Position vs time:
Results of the test program for Euler integration of the simple harmonic oscillator equation. Note how points spiral out.
It's spiralling outward. Energy is not being conserved!
Momentarily using the underline notation again, the vector
is a vector in phase space.
It is supposed to follow a closed path, but the finite steps in the
1-st order Euler ODE solver don't allow that.
Addition of a finite correction perpendicular to a vector.
The harmonic oscillator and orbit problems, and many others in science in engineering, are examples of solutions of Hamiltonian equations:

The solutions should conserve
. The Euler and Runge-Kutta schemes don't.
The simplest (and very common) cases arise from
, so that
and
.
A 1st-order symplectic version of Euler's equation:


A beautiful 2nd-order symplectic method:



Note these symplectic methods need to distinguish between
and
.